ACCESS | VBA

“Как видно, совершенство достигается не тогда, когда уже нечего прибавить, но когда уже ничего нельзя отнять.”
- Antoine de Saint-Exupery

ACCESS | VBA -> Диспетчеризация работы инструментального производства.

К СПИСКУ РАЗДЕЛОВ

Данная система предназначена для анализа и диспетчеризации работы инструментального производства, т.е. программа позволяет отследить выполнение заказа по участкам в рамках каждого отделения\цеха и в общем по производству. Также возможна печать различных отчётов для экономистов и диспетчеров (сводка выполнения плановых показателей, отчёт о выполнении плана по товарной продукции, отчёты по номенклатуре и т.д.).

Система состоит из 5 программ, работающих в единой сети, базы данных располагаются на сервере. Все программы написаны на MS Access, поддерживаются версии офиса 2000, XP, 2003 и 2007. Из главной программы, которая установлена у начальника производства и заместителя, возможно получение отчётов по графику подготовки производства, контролю выполнения важных заданий и других работ по производству. Ещё по программе установлено у экономистов и начальников отделений, входящих в состав инструментального производства, причём каждая из этих программ отличается расчётом экономической части, т.к. у каждого отделения своя специфика работы.

Эта система разрабатывалась мной полностью, от помощи в составлении технического задания до проектирования и программирования, а также отладки и дальнейшей доработки. На данный момент эта система успешно работает уже более двух лет. В этой системе реализовано много интересных идей, актуальных для российских предприятий, а в некоторых случаях её применение более выгодно, чем внедрение крупных ERP систем.

Скриншоты:

Примеры кода:

|   Пример №1   |   Пример №2   |   Пример №3   |
К СПИСКУ РАЗДЕЛОВ

“Ходить по воде и разрабатывать программы, следуя спецификации, очень просто, если они заморожены.”
- Edward V Berard

ACCESS | VBA -> Калькулирование инструмента.

К СПИСКУ РАЗДЕЛОВ

Эта программа предназначена для расчёта стоимости инструмента исходя из стоимости материала и зарплаты. Вводятся все данные по инструменту, и автоматически на этой же форме считается цена и трудоёмкость. Также при изменении цеховых расходов или других норм, цена автоматически пересчитывается.

Скриншоты:

Примеры кода:

|   Пример №1   |   Пример №2   |
К СПИСКУ РАЗДЕЛОВ

“Хорошо, Java, ВОЗМОЖНО, хороший пример того как должен выглядеть язык. Но тогда программы на Java - это хороший пример как НЕЛЬЗЯ писать программы.”
- pixadel

ACCESS | VBA -> Расцеховка.

К СПИСКУ РАЗДЕЛОВ

Эта программа предназначена для формирования и печати расцеховки. Программа написана на MS Access. Данные могут быть взяты из обычных в формате dbf, а также можно выгрузить из Search в XML, а затем запустить обработку и получить расцеховку.

Скриншоты:

Примеры кода:

|   Пример №1   |
К СПИСКУ РАЗДЕЛОВ

“Для меня долгое время было загадкой, как что-то очень дорогое и технологичное может быть столь бесполезным. И вскоре я осознал, что компьютер - это глупая машина, обладающая способностями выполнять невероятно умные вещи, тогда как программисты - это умные люди, у которых талант делать невероятные глупости. Короче, они нашли друг друга.”
- Bill Bryson

ACCESS | VBA -> Должностные инструкции.

К СПИСКУ РАЗДЕЛОВ

В этой программе ведётся учёт должностных инструкции (разработка, назначение, отслеживание изменений и снятие с исполнения), а также выводятся сводные отчёты по этой тематике. Программа разработана в MS Access и может работать как в сети, так и локально.

Скриншоты:

Примеры кода:

|   Пример №1   |
К СПИСКУ РАЗДЕЛОВ

“Использование COBOL калечит разум; исходя из этого, обучение этому языку должно быть признано уголовно наказуемым преступлением.”
- E. W. Dijkstra

ACCESS | VBA -> Наличие профессий.

К СПИСКУ РАЗДЕЛОВ

Программа, которая формирует сложный отчёт по наличию профессий на предприятии в различных разрезах. Исходные массивы могут быть получены из различных систем, просто требуется дополнительное преобразование исходных данных. Программа разработана в MS Access и может работать как в сети, так и локально.

Скриншоты:

Примеры кода:

|   Пример №1   |
К СПИСКУ РАЗДЕЛОВ

“С - это причудливый, несовершенный, но невероятно успешный язык.”
- Dennis M. Ritchie.

ACCESS | VBA -> Отчёты по кадрам (более 100 отчетов).

К СПИСКУ РАЗДЕЛОВ

Очень крупная система, в которой я разработал более 100 нестандартных отчётов/справок для работников отдела кадров или других служб, которым нужна информация по кадрам. Особенностью является простой интерфейс пользователя и, как правило, этих отчётов нет в 1С или других крупных системах. Исходные массивы могут быть получены из различных систем, просто требуется дополнительное преобразование исходных данных. Программа разработана в MS Access и может работать как в сети, так и локально.

Скриншоты:

Примеры кода:

|   Пример №1   |   Пример №2   |   Пример №3   |   Пример №4   |
К СПИСКУ РАЗДЕЛОВ

“PHP - это маленькое зло, созданное некомпетентными новичками, в то время как Perl - это большое и коварное зло, созданное умелыми, но извращёнными профессионалами.”
- Jon Ribbens

ACCESS | VBA -> Текучесть кадров.

К СПИСКУ РАЗДЕЛОВ

Программа формирующая отчёт по текучести кадров, т.е. сводная информация по уволенным и принятым в различных разрезах. Исходные массивы могут быть получены из различных систем, просто требуется дополнительное преобразование исходных данных. Программа разработана в MS Access и может работать как в сети, так и локально.

Скриншоты:

Примеры кода:

|   Пример №1   |
К СПИСКУ РАЗДЕЛОВ

“Программирование - это как бить себя по лицу, рано или поздно ваш нос будет кровоточить.”
- Kyle Woodbury

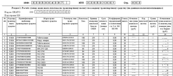
ACCESS | VBA -> Автотранспортный налог.

К СПИСКУ РАЗДЕЛОВ

Небольшая программа для выдачи налогового расчёта по авансовым платежам, также в этой программе ведутся все необходимые данные.

Скриншоты:

Примеры кода:

|   Пример №1   |
К СПИСКУ РАЗДЕЛОВ

“Perl - это тот язык, который одинаково выглядит как до, так и после RSA шифрования...”
- Keith Bostic

ACCESS | VBA -> Анализ продукции.

К СПИСКУ РАЗДЕЛОВ

Крупная система по анализу выпускаемой продукции. Используется восновном плановиками и экономистами. В этой программе присутствует достаточно подробный ввод информации по месяцам, а кварталы и другие периоды, вплоть до пяти лет, можно рассчитать, основываясь только на месяцы. Также в этой программе мной было разработано много различных отчётов в которых производится различный анализ, причём один и тот же отчёт можно пересчитать по плану или факту или сопоставить сразу оба варианта. При этом возможно задать различные цены как в рублях, так и нормо-часах. Также при построении отчёта возможно указать различные группировки и скрыть из расчёта ненужные позиции, чем обеспечиваются различные варианты одного и того же документа.

Программа разработана в MS Access и может работать в различных версиях, кроме 97. Сетевой вариант не предусмотрен, и эта система работает только локально.

Скриншоты:

Примеры кода:

|   Пример №1   |   Пример №2   |   Пример №3   |   Пример №4   |
К СПИСКУ РАЗДЕЛОВ

“Намного легче портировать шелл, чем скрипт на шелле.”
- Larry Wall

ACCESS | VBA -> Бюджет.

К СПИСКУ РАЗДЕЛОВ

Эта программа предназначена для отслеживания выполнения бюджета. В этой программе заносится вся необходимая информация и затем анализируется. В справочнике статей определяется входимость статей и соответственно некоторые статьи будут считаться автоматически. Отслеживание бюджета возможно по дням, а на главной форме ввода информации можно оперативно получить информацию по каждой статье. Все формы, выдаваемые на печать, имеют общепринятый вид на многих организациях.

Программа предназначена для плановиков и финансистов, она свободно может работать в сети, что позволяет разным работникам вести учёт своих статей на своём компьютере, а начальник финансового отдела может оперативно получать общую информацию по бюджету. Программа разработана в MS Access и может работать в различных версиях, кроме 97.

Скриншоты:

Примеры кода:

|   Пример №1   |   Пример №2   |   Пример №3   |   Пример №4   |
К СПИСКУ РАЗДЕЛОВ

“Я изобрел понятие «объектно-ориентированный», но могу заявить, что не имел в виду C++ при этом.”
- Alan Kay

ACCESS | VBA -> Отгрузка, оплата и деб/з.

К СПИСКУ РАЗДЕЛОВ

Эта программа предназначена для отслеживания выполнения бюджета. В этой программе заносится вся необходимая информация и затем анализируется. В справочнике статей определяется входимость статей и соответственно некоторые статьи будут считаться автоматически. Отслеживание бюджета возможно по дням, а на главной форме ввода информации можно оперативно получить информацию по каждой статье. Все формы, выдаваемые на печать, имеют общепринятый вид на многих организациях.

Скриншоты:

Примеры кода:

|   Пример №1   |
К СПИСКУ РАЗДЕЛОВ

“Если бы McDonalds была бы софтверной компанией, то у них один из ста Биг Маков был бы отравленным, и их ответ на это был бы: "Мы сожалеем, вот вам купон на ещё два Биг Мака."”
- Mark Minasi

ACCESS | VBA -> Печать счёт фактур.

К СПИСКУ РАЗДЕЛОВ

Программа для выдачи на печать счёт фактур и счетов на предоплату. Эта программа разрабатывалась, когда в организации ещё не было крупных ERP систем, но на данный момент она уже устаревает. Информация для этой программы может загружаться из разных баз данных, а затем программа её рассчитывает и выдаёт на печать в обще принятом стандарте. Программа разработана в MS Access и может работать в различных версиях, кроме 97.

Скриншоты:

Примеры кода:

|   Пример №1   |   Пример №2   |
К СПИСКУ РАЗДЕЛОВ

“Меня не интересует, будет ли это работаеть на ваших машинах! Мы не отдаем их заказчику!”
- Vidiu Platon

ACCESS | VBA -> Просмотр з/п.

К СПИСКУ РАЗДЕЛОВ

Эта программа предназначена для просмотра и выгрузки в excel сводной информации по зарплате. Также в программе анализируются, с определённым приближением, различные виды отклонений зарплаты от средней по профессии, отделу и т.д. Вся информация представляется в разрезе отдел \ работник \ месяц + год, при этом возможно задавать различные поиски и сортировки данных. Исходная информация по кадрам, начислениям и удержаниям, а также видам оплат загружается в систему из внешних источников, а затем уже рассчитывается. Программа разработана в MS Access и может работать в различных версиях, кроме 97.

Скриншоты:

Примеры кода:

|   Пример №1   |   Пример №2   |   Пример №3   |   Пример №4   |
К СПИСКУ РАЗДЕЛОВ

“Опасайтесь багов в приведенном выше коде; я только доказал корректность, но не запускал его.”
- Donald E. Knuth

ACCESS | VBA -> Собрание акционеров.

К СПИСКУ РАЗДЕЛОВ

Система для подготовки документации к собранию акционеров. Под документацией понимается: бюллетени, конверты, реестры, справки для сверки, журналы акционеров и т.д. Исходные данные поступают от регистратора в формате Excel, но могут и из таблиц, а затем преобразовываются для работы. Бюллетень набирается в Word, а затем вставляется в программу. В итоге можно провести подготовку к собранию акционеров, численностью 4000 человек, за 4-5 дней, что достаточно быстро. Программа разработана в MS Access и может работать в различных версиях, кроме 97.

Скриншоты:

Примеры кода:

|   Пример №1   |   Пример №2   |   Пример №3   |
К СПИСКУ РАЗДЕЛОВ

“Многие из вас знакомы с достоинствами программиста. Их всего три, и разумеется это: лень, нетерпеливость и гордыня.”
- Larry Wall

ACCESS | VBA -> Преобразование данных Search.

К СПИСКУ РАЗДЕЛОВ

Эта программа предназначена для преобразования данных выгруженных из Search в формате XML в таблицы, удобные для работы, или можно сформировать сводный отчёт в Excel. В принципе, эта программа являются связующим звеном Search с любой другой системой, т.к. на основе таблиц можно сформировать dbf файлы или сформировать новый XML файл, для загрузки в другую систему. Программа разработана в MS Access и может работать в различных версиях, кроме 97.

Скриншоты:

Примеры кода:

|   Пример №1   |   Пример №2   |   Пример №3   |
К СПИСКУ РАЗДЕЛОВ

“Итерация свойственна человеку, рекурсия божественна.”
- L. Peter Deutsch

ACCESS | VBA -> Юридические документы.

К СПИСКУ РАЗДЕЛОВ

К данному разделу относится не конкретная программа, а набор документов. Все документы имеют жёсткие требования к оформлению, и малейшие изменения приведут к повторному созданию документа. А теперь представьте, что за 8 часов вам надо сделать 1000 разных бланков, в которых порой 10 листов и более, причём с жёстким оформлением, которого вы, может быть, не знаете. С помощью таких бланков это вполне реально, т.к. программа контролирует ошибки, а также разносит все повторяющиеся значения по всему документу, причём заносить данные можно не используя мышку, что тоже ускоряет работу. Бланки разработаны в MS Word и будут работать в разных версиях. Выбор Word, а не Excel был не случаен, т.к. многие моменты автоматизации оформления в Word сделать проще, а также многие пользователи намного лучше знакомы с Word.

Скриншоты:

Примеры кода:

|   Пример №1   |   Пример №2   |   Пример №3   |
К СПИСКУ РАЗДЕЛОВ

“Есть два способа создания дизайна программы. Один из них, это сделать его настолько простым, что в нем, очевидно, не будет недостатков. Другой способ - сделать его настолько запутанным, что в нем не будет очевидных недостатков.”
- C.A. R. Hoare